在各种微流体实验中,通常都需要了解对液体施加多大的力才能将其推出来或者是达到一定的流速。这里的“力”是指以牛顿为单位的力,而不是以压强为单位的力。不过,在具体的微流体实验系统中,要想实验一定的液体流速,必须对液体施加一定的力,这里的“力”,通常指压力,是以压强为单位的力。这两个不同的“力”之间是通过液体的横截面积联系在一起的。对于微流体注射泵而言,可以从规格参数上直接查到线性力,从而知道注射泵的压力(详细计算过程,请参见 微流控注射泵的线性力介绍);对于微流体压力泵或压力控制器而言,可以从规格参数上查到输出压力量程。
本文主要介绍了微流体注射泵对液体施加的压力计算,从而方便更多的用户对微流体压力泵和微流体注射泵有一个直观的了解。
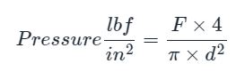
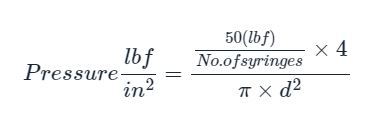
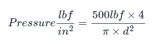
微流体注射器压力是指推动块在注射器柱塞上施加到注射器内部液体表面积上的力的大小。为了计算压力,根据以下简化公式将泵的线性力除以注射器内部的面积:

其中,pi为3.1416,d是注射器内部直径,F是泵线性力。
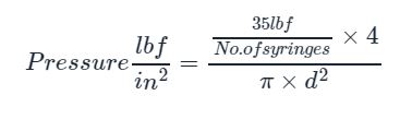
NOTE:如果使用多个注射器,则泵线性力需要除以泵上使用的注射器数。
在计算注射泵压力之前,我们需要知道注射泵线性力。
根据您使用的注射泵,每个推动块产生不同的力。
以下是线性力的Fusion系列注射泵的列表
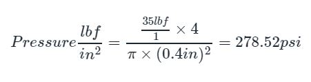
Fusion100 – 35 lbf
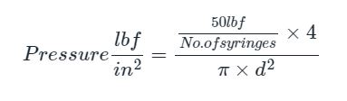
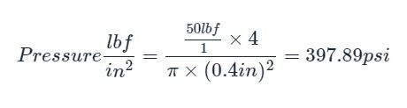
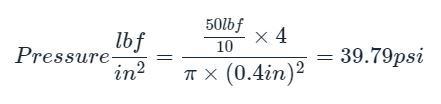
Fusion200 – 50 lbf
Fusion4000 – 65 lbf
Fusion6000 – 500 lbf
下面以Fusion系列微流体注射泵的压力计算作为示例。
微流体注射泵Fusion100

例如:
● 2 mL注射器
● 0.40 inch直径
● 1个注射器

压强单位转换关系
1 bar=1 kPa=1000 mbar=10^5 Pa=14.5 psi=10197.162 毫米水柱
微流体双通道注射泵Fusion200

例如:
● 2 mL注射器
● 0.40 inch直径
● 1个注射器

微流体注射泵Fusion200 – 可安装10个微流体注射器

例如:
● 2 mL注射器
● 0.40 inch直径
● 10个注射器

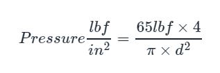
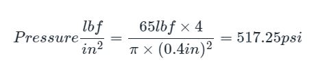
微流体双通道注射泵Fusion4000
Fusion4000具有两个独立的注射器支架。每个注射器支架的马达提供65lb的力。

例如:
● 2 mL注射器
● 0.40 inch直径
● 2个注射器

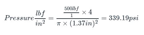
微流体双通道注射泵Fusion6000
Fusion4000具有两个独立的注射器支架。每个注射器支架的马达提供65lb的力。

例如:
● 100 mL注射器
● 1.37 inch直径

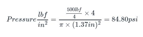
微流体注射泵Fusion6000 – 可以安装4个注射器

例如:
● 100 mL注射器
● 1.37 inch直径
● 4个注射器

通过上述本文的介绍,恭喜您现在可以计算出来实验室内正在使用的微流体注射泵对液体施加的压力了。