
微流体学的目标是实现所谓的芯片实验室,即将通常在实验室中进行的所有实验活动都整合到一个微流体芯片上操作。在过去的几年中,微流控朝着这个方向迈出了巨大的步伐:微流控设备广泛的应用于从物理到生物医学的许多应用领域。此外,单个微流控芯片上植入多种功能不仅在便携性和成本上具有明显的优势,而且小型化还可以研究细胞量级的生化现象。
微流控的这些优良的特性激发了研究人员对微流控技术在细胞培养相关研究中的广泛兴趣。实际上,使用微流控芯片既可以培养样品,又可以在同一平台上进行所需要的实验观察。然而,微流控芯片中的细胞培养具有很大的挑战性。实际上,细胞培养的问题之一是通过微流控芯片将细胞从外部撕裂,从而无法直接监视其微环境。在这方面,探测培养室内部重要的参数之一是pH值。实际上,细胞会影响其周围环境,例如在呼吸过程中会产生二氧化碳和/或乳酸,从而酸化培养室的微环境。由于典型的微流控培养室中所含的液体量极低(约1μL左右),因此,这些自然过程的影响会变得更加重要。
因此,能够动态地测量甚至是控制微流体装置内的pH值是微流体应用的关键主题。在以下部分中,将会简要介绍微流体器件中实现pH监控的几种方法。此外,补充说明中,还介绍了集成在微流体器件中的用于pH测量的固态传感器的基本原理。
微流控中的光学pH监控
当前大多数细胞培养基都包含简单的pH指示剂例如酚红,这些化合物分子的特征在于其能够根据周围环境的pH值改变颜色。因此,该特性允许进行简单但粗略地监测中等pH值。然而,为了能够通过光学方法进行pH的定量测量,需要具有相当长的吸收光的路径,这对于微流体器件而言显然是不可能的。
Magnusson等(2013)开发了一种技术,该技术可以克服光吸收路径长的问题,在成像区域中实现非吸收性部件,从而可以进行定量和精确的pH测量。该技术的前提条件是需要在使用非吸收性液体进行任何测量之前对光源进行严格的校准。这种技术的主要优点是仅仅需要标准设备例如透射光显微镜和带有CCD传感器的数码相机,这在大多数生物医学研究实验室中都可以找到。以下部分介绍了该技术的基本工作原理。

图 1
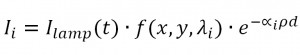
如图1所示,从微流体器件发出的光被光学显微镜中的物镜收集,然后被选定的带通滤波片绿光,然后通过旋转镜将光线输送到相机的CCD传感器上。当添加吸收介质如包含酚红的溶液时,到达相机的光强度将具有以下形式:

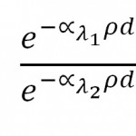
其中,λi是酚红的两个吸收波长(酸和碱性形式),∝i是相应的吸收系数,ρ是酚红的浓度,d是微流体器件的厚度。为了确定两个吸收系数之间的比率,在不使用酚红介质的情况下执行校准测量,以便忽略对它的依赖性。因此,我们有:

为了避免时间变化,在成像帧中不仅捕获培养室图像,还捕获芯片附近的空白区域,与校准测量值相比,该空白区域不应该显示吸收。因此,该区域中的相对强度提供了比率即在校准(t0)和测量(t1)之间的时间内光源强度的变化。对两个酚红的吸收波长重复该过程,然后将两个获得的值相除,得出:

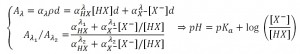
先前表达式的自然对数给出了酚红的两个吸收系数之间的比率。该比率使用以下表达式给出细胞培养环境的pH值:

需要注意的是,pH值还取决于其他因素,例如温度和所用的特定细胞培养基。采用的设备是带有12个培养室和内置阀的PDMS微流体芯片,用于冲洗和培养基供应,其设计由Gomez-Sjober等人(2007)开发。为了捕捉不同波长的图像,使用了一些宽度为10nm的商业带通滤波片(以430nm和560nm为中心,以匹配酚红吸收峰)。该系统是自动化的,可以通过MATLAB软件进行操作。

图 2
图2给出了使用此技术进行pH测量的可靠性和可重复性的一些结果。测量偏差的主要来源是由于冲洗不完全、冲洗不彻底和化学痕迹而导致的腔室之间的波动。此外,PDMS对苯酚分子的吸收会引起时间上的连续偏差,该偏差可以通过在pH测量中引入时间函数偏差来进行解决。
总之,通过使用标准生命科学仪器进行简单的设置,该方法可提供可靠且精确的pH测量值(对于pH≈7-8,满量程灵敏度<0.005)。此外,它利用了nL量级的少量培养基,因此,与传统的pH控制方法相比,降低了昂贵的成本。此测量方法的主要缺点是由于腔室的冲洗不彻底以及微流体器件对吸收介质的吸收,pH值出现了意想不到的偏差。
使用混合EIS传感器/微流体器件进行pH测量
Lin(2013)等开发了一种能够同时监测pH和葡萄糖水平的微流体装置。图3示意图显示了组成芯片的各个层。从底部开始,有一个电解质-绝缘体-半导体(EIS)传感器粘接到带有内置铝电极的玻璃基板上,以便传导来自EIS传感器底部的传感器信号。然后,将两个PDMS层用于样品的流体处理。特别是,一层承载微流体通道,而另一层PDMS则内置六个气动泵,用于流量调节和样品加载。重要的是这些泵也可以充当阀门的功能:实际上,自动压缩空气流会将PDMS层偏转到通道上,从而调节或阻塞下面的样品流。在器件的底部,玻璃基板上有一个Ag/AgCl薄膜参比电极,可为pH测量提供参比电位。

图 3
下面简要介绍监测pH值的工作原理。EIS传感器的平带电压由以下表达式定义:

其中,Eref是参考电极电势,Xsol是溶液的表面偶极电势,Φsi是硅功函数,q是电荷,Qss是硅表面每单位面积的表面态密度,Qox是每单位面积的固定氧化物电荷,Cox是每单位面积的栅极绝缘体电容,ψ是表面电势。在前面的表达式中,唯一的自由参数是表面电势,因此,EIS传感器的平带电势的变化仅由表面电势的变化决定,从而也就是由周围环境pH的变化确定。
为了验证系统的性能,已将四种具有已知pH值(4.03、6.70、7.40和9.57)的溶液注入腔室内。

图 4
图4是Lin等(2013)人的实验结果。所达到的高线性度(0.9996)表示可以在不同样品加载之间对腔室进行有效冲洗。此外,该系统能够使用非常少量的试剂(约102μL)进行操作。所有测量都是自动进行的,从而避免了与手工操作引起的污染有关的任何问题。
使用基于反馈的微流体系统调节pH值
本部分提出了另一种能够监测pH值的微流体器件。该器件由Welch和Christen(2014)开发,利用PDMS芯片进行管理,该芯片可以管理液体以及用于测量pH值的离子选择场效应晶体管(ISFET)。该器件的主要功能是不仅可以进行pH探测,还可以自动调节液位。实际上,在PDMS芯片(图5)中,有两个具有碱性(pH+)和酸性(pH-)溶液的储液池。这些储液池的输出由两个阀门控制,这两个阀门调节流出的流量以及后面的混合,从而可以主动控制暴露于ISFET传感器的混合溶液的pH值。

图 5
如上所述,该器件是通过常规的PDMS软光刻技术加工而成的。聚合物结构位于形成微通道基础的硅基底上。其向位于pH传感器所在的反应室中的酸和碱性溶液在反应室之前在两个微通道的结合处混合。第三个无阀输入通道用于为传感器校准目的提供标准pH缓冲液。相同的硅基板支撑着由两个电极组成的ISFET:一个用于参考,另一个用于感应。软件根据传感器的读数控制阀门。为了计算输出信号以管理pH值,使用了比例微分(PD)反馈控制算法。已经证明该系统可以实时控制芯片内部反应室中溶液的pH值。这是通过在0.14pH值的增加和减少方向上进行反馈控制的步进实现的。该系统能够在研究人员刚输入后的20秒内稳定达到pH设定值。
通过基于水凝胶的微流控芯片主动调节pH值
水凝胶是生物医学应用领域中越来越重要的一类材料。水凝胶能够在聚合物链之间捕获水分子的聚合物基质。此功能使他们无需任何外部电源即可更改其形态。此外,此类材料具有高度的生物相容性和耐用性,因此,在文件科学家的应用中非常具有优势。特别地,前述的由环境参数的变化触发的形状和尺寸变化的能力可以使它们成为旨在控制pH的良好材料。Atwe等(2014年)利用此功能设计了一种微流体器件,该器件使用水凝胶作为微阀来根据其pH值控制流量。pH敏感的水凝胶具有酸性或碱性基团,可以通过使它们流过特定pH的介质来触发电离。这种电离导致抗衡离子从周围区域流入凝胶,导致水分子流均衡凝胶边界两侧之间的渗透压。因此,为了维持该压力梯度,水凝胶根据pH的变化而发生膨胀。水凝胶的这种pH依赖性扩展是在微流体通道中创建微阀的基本原理。实际上,在Atwe的器件中,水凝胶切片已包含在PDMS芯片内部的微通道网络中,因此,流路可以根据流动介质的pH值自动变窄或自行扩展,从而实现pH值相关的流量调节。

图 6
图6显示了该过程的示意图:中等pH值会使水凝胶收缩,从而使微通道的直径从Db减小到Da(Db<Da)。图7显示了在各种pH下,由于离子的吸收,孔尺寸发生的变化。已经发现的大变化发生在pH=3时,其中孔从平均直径20μm穿过到平均值3μm。因此,可以推断出当流动介质处于pH=3时,泵的效率偏大。

图7
补充说明
pH的概念源于Lavoisier和Arrhenius,他们在18世纪以更科学的方式研究了这种化学特性。确实,在他们之前,“酸”和“碱”之间的分类被认为是可观察或感知到的诸如口味之类的特性。Arrhenius首先提出了pH值与给定物质中的电荷载体有关的假设。特别是,他推断氢离子在酸性物质中携带电流,而在碱性物质中以离子形式运动。
到目前为止,pH的正式定义为:

其中,公式中的系数是水合氢离子在摩尔尺度上的活度。此外,在电解质溶液中,使浓度梯度与电梯度相关的公式为Nerst方程:

其中,E是电解质的电势,E^-是标准电势,R是通用气体常数,T是温度(以开尔文为单位),z是反应过程中转移的电子摩尔数,F是法拉第常数,Q_r是反应商。该方程式是用于pH测量的固态传感器(例如离子选择场效应晶体管(ISFET))实现的基础(图8)。实际上,对于这些电位离子传感器,即其电势作为离子浓度的函数进行测量的传感器,Nerst方程规定电极电势是该传感器侵入其中的电解质溶液中离子活度的直接对数函数。实际上,对于ISFET的平带电压,得出的公式为:

其中,除φ_0外,所有项都是常数。因此,ISFET电势与表面电势的直接相关性使得ISFET对电解质pH敏感。ISFET类似于金属氧化物半导体场效应晶体管(MOSFET),实际上可以用相同的等效电路对其进行等价(图9,c)。

图 8
两者之间的宏观差异是MOSFET的金属栅极(图9,a)被参比电极的金属(图9,b)代替。参比电极只是金属线和水溶液之间的接触点,用于确定该溶液的电势。实际上,参比电极例如由AgCl线(具有不溶性AgCl涂层的银)在KCl溶液中以恒定浓度组成。根据能斯特方程式,电化学耦合的形成产生恒定的电势。参比电极的内部溶液与必须通过势垒(所谓的熔块)测量电位的溶液接触。请注意,对于这种类型的电位传感器,必须使感测材料(膜)导电,因为测量电路必须“闭合”。换句话说,参比电极以稳定的方式将穿透氧化物的电场耦合到“电子世界”。如果氧化物的外表面与与氧化物接触的离子溶液处于平衡状态,则产生的界面电位将调节电场,因此,在“离子世界”和“电子世界”之间提供了完美而稳定的接触。

图 9
此外,在ISFETS的情况下,栅极电压是参考电极上的电压,通常为零(接地参考电极),但是阈值电压包含在一侧反映液体和栅极氧化物之间界面的项,并且液体和参比电极在另一侧。因此,设计具有较大灵敏度和选择性的pH敏感ISFET需要对氧化物-电解质界面进行详细研究,以便能够选择合适的氧化物,而氧化物并不是MOSFET所用的二氧化硅。
参考文献
http://en.wikipedia.org/wiki
A. Atwe, A. Gupta, R. Kant, M. Das, I. Sharma, S. Bhattacharya. A novel microfluidic switch for pH control using Chitosan based hydrogels. Microsystem Technologies (2014), 20:1373-1381.
L. Florea, C. Fay, E. Lahiff, T. Phenal, N.E. O’Connor, B. Corcoran, D. Diamond, F. Benito-Lopez.Dynamic pH mapping in microfluidic devices by integrating adaptive coatings based on polyaniline with colorimetric imaging techniques. Lab on a chip (2013), 13:1079-85.
P. Bergveld. ISFET, theory and practice. IEEE sensor conference Toronto (2003), avalaible at .
Y.-H. Lin, A. Das, M.-H. Wu, T.-M. Pan, C.-S. Lai. Microfluidic chip integrated with an electrolyte-insulator-semiconductor sensor for pH and glucose level measurement. Int. J. Electrochem. Sci. (2013), 8:5886-5901.
E. B. Magnusson, S. Halldorsson, R.M.T. Fleming, K. Leosson. Real-time optical pH measurement in a standard microfluidic cell culture system. Biomedical optics express (2013), 4:1749-58.
A. Persat, R. Chambers. Basic principles of electrolyte chemistry for microfluidic electrokinetics (Part I). LAb on a chip (2009), 9:2437-53.
D. Welch, J. Christen. Real-time feedback control of pH within microfluidics using integrated sensing and actuation. Lab on a chip (2014), 14:1191-7.